Below are the relevant zoning information pertaining to the Trent Severn Waterfront Land Parcel.
Zone as OS1 (Open Space)
250′ Water Frontage
528′ Deep on the Left Side Looking in From Water
660′ Deep on the Right Side Looking in From Water
297′ On the Back
Use this link if you would like to download the Full Zoning Information Package
as a PDF – Click Here 
TRENT SEVERN WATERFRONT ZONING INFORMATION CHART (Look for the Star)

OPEN SPACE ZONING INFORMATION

Use this link to download the full Open Space zoning (Section 6.2) information
as a PDF – Click Here
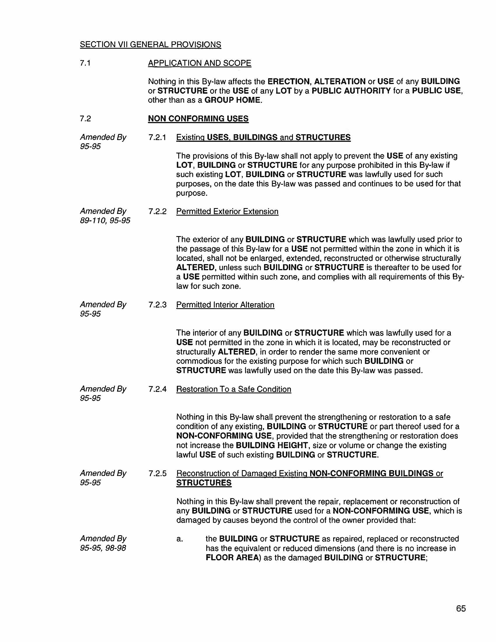
GENERAL PROVISIONS ZONING INFORMATION

Use this link to download the full General Provisions (Section 7) zoning information
as a PDF – Click Here
SPECIAL DEFINITIONS ZONING INFORMATION

Use this link to download the full zoning Definitions (Section 8) information
as a PDF – Click Here
 
 


