Below are the relevant zoning information pertaining to the Goltz Road Land Parcel.
Goltz Road – OS2 and EP1 (Open Space, Environmental Protection)
Use this link if you would like to download the Full Zoning Information Package
as a PDF – Click Here
GOLTZ ROAD ZONING INFORMATION CHART

OPEN SPACE ZONING INFORMATION

Use this link to download the full Open Space zoning (Section 6.2) information
as a PDF – Click Here
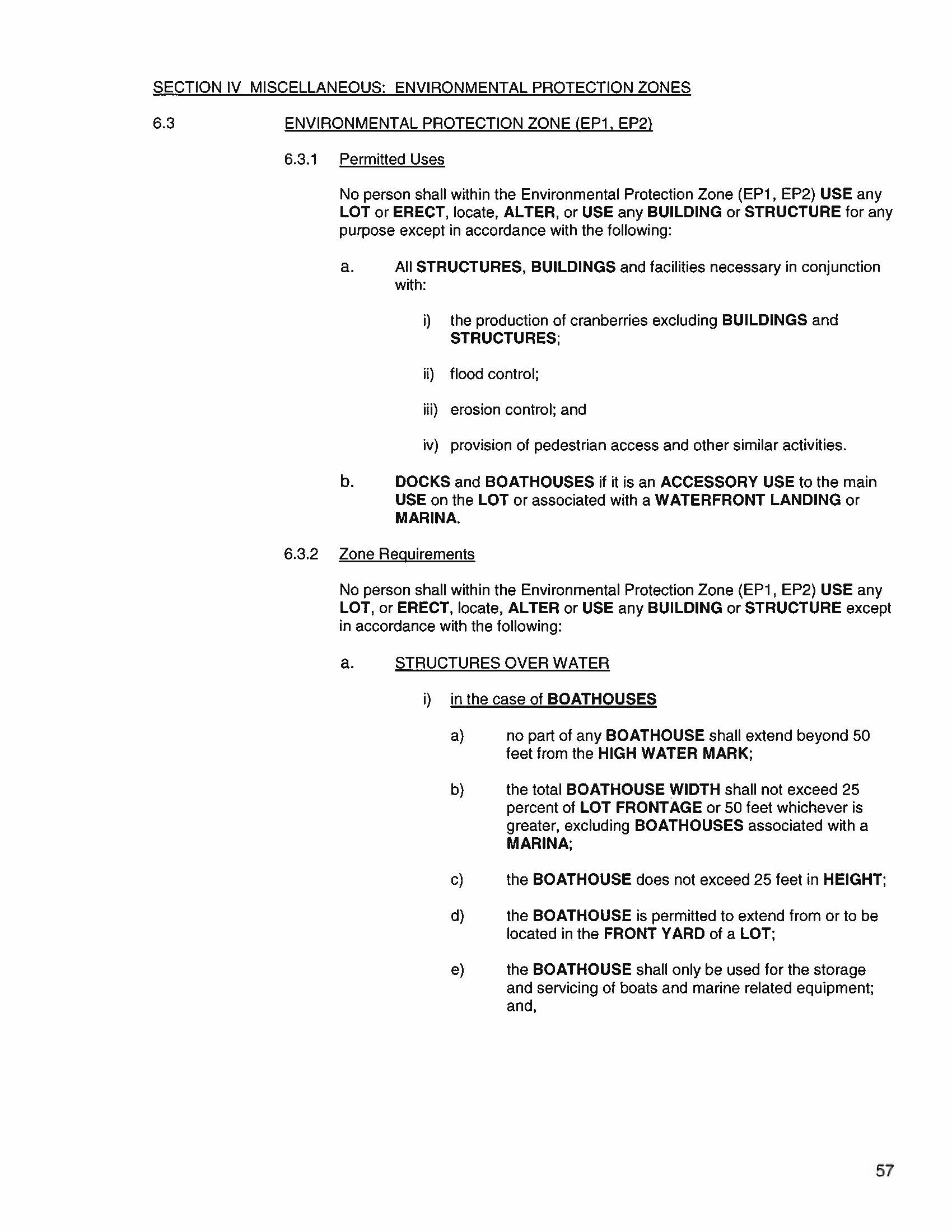
ENVIRONMENTAL PROTECTION ZONING INFORMATION

Use this link to download the full Environmental Protection zoning (Section 6.3) information
as a PDF – Click Here
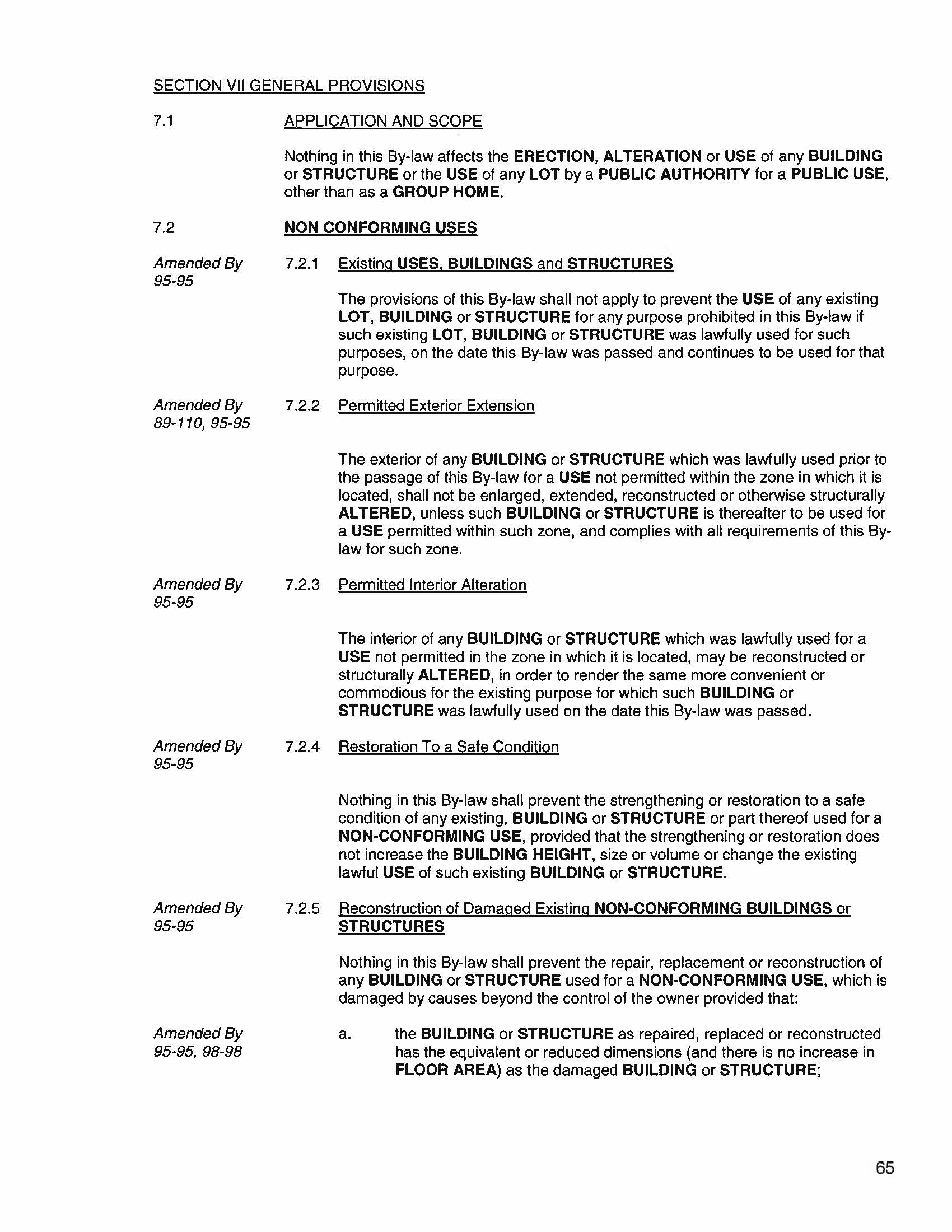
GENERAL PROVISIONS ZONING INFORMATION

Use this link to download the full General Provisions (Section 7) zoning information
as a PDF – Click Here
SPECIAL DEFINITIONS ZONING INFORMATION

Use this link to download the full zoning Definitions (Section 8) information
as a PDF – Click Here



